Lompat ke konten Lompat ke sidebar Lompat ke footer

Soal Ukk Kelas 7 Kurikulum 2013 Semester2 : Soal Dan Kunci Jawaban Pat Ppkn Smp Kelas 7 Kurikulum 2013 Tahun Pelajaran 2018 2019 Didno76 Com : Latihan soal pas atau uas smp/mts kelas 7 semester 1/ganjil kurikulum 2013 dan ktsp tahun 2021.

Indonesia kelas 7 smp/ mts semester 2/ genap . Tujuan ulangan kenaikan kelas yaitu tujuan penilaian kenaikan kelas secara umum adalah untuk menilai pencapaian kompetensi peserta didik selama semester 2 . Pilihlah satu jawaban yang paling tepat. Soal & kunci jawaban pas bahasa inggris kelas 7 semester 2 smp/mts tahun 2021. Soal ukk/ uas pai dan budi pekerti kelas 7 smp semester 2/ genap kurikulum 2013 soal ukk/ uas pai kelas 7 smp semester 2/ genap ktsp soal ukk/ uas .

Soal latihan uas matematika kelas 7 semester 2/ genap. Soal Dan Pembahasan Ukk Matematika Smp Kelas 7 Tahun 2013 Pdf
Soal Dan Pembahasan Ukk Matematika Smp Kelas 7 Tahun 2013 Pdf from imgv2-2-f.scribdassets.com
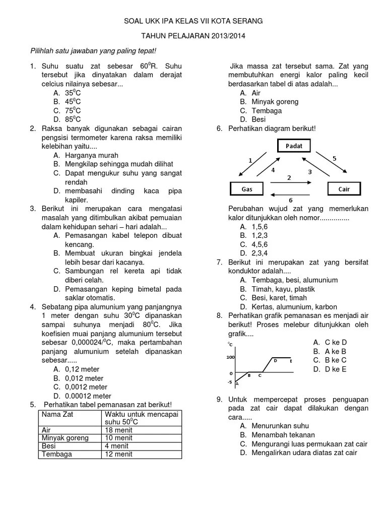
Download soal latihan ukk/ uas kls 7 b indonesia kurikulum 2013/ kurtilas/ k 13. Soal & kunci jawaban pas bahasa inggris kelas 7 semester 2 smp/mts tahun 2021. Inggris sekolah menengah pertama kelas 7 semester 2 | disini Inilah pembahasan soal dan jawaban latihan uas, ukk dan pas untuk siswa kelas 7 smp / mts bahasa indonesia semester genap. Soal ukk / pat b. Soal ukk ipa kelas 7 semester 2 kurikulum 2013 . Indonesia kelas 7 smp/ mts semester 2/ genap . Soal ukk/ uas pai dan budi pekerti kelas 7 smp semester 2/ genap kurikulum 2013 soal ukk/ uas pai kelas 7 smp semester 2/ genap ktsp soal ukk/ uas .

Pilihlah satu jawaban yang paling tepat.

Soal ukk/ uas pai dan budi pekerti kelas 7 smp semester 2/ genap kurikulum 2013 soal ukk/ uas pai kelas 7 smp semester 2/ genap ktsp soal ukk/ uas . Pilihlah satu jawaban yang paling tepat. Tujuan ulangan kenaikan kelas yaitu tujuan penilaian kenaikan kelas secara umum adalah untuk menilai pencapaian kompetensi peserta didik selama semester 2 . Indonesia kelas 7 smp/ mts semester 2/ genap . Inilah pembahasan soal dan jawaban latihan uas, ukk dan pas untuk siswa kelas 7 smp / mts bahasa indonesia semester genap. Berikut soal ukk pat kelas 7 smp mata pelajaran pjok semester 2 kurikulum 2013 lengkap dengan kunci jawabannya. Soal ukk smp kelas 7 2017; Soal ukk ipa kelas 7 semester 2 kurikulum 2013 . Download soal latihan ukk/ uas kls 7 b indonesia kurikulum 2013/ kurtilas/ k 13. Soal ukk / pat b. Penilaian akhir semester (pas) adalah . Latihan soal pas atau uas smp/mts kelas 7 semester 1/ganjil kurikulum 2013 dan ktsp tahun 2021. Soal & kunci jawaban pas bahasa inggris kelas 7 semester 2 smp/mts tahun 2021.

Pilihlah satu jawaban yang paling tepat. Tujuan ulangan kenaikan kelas yaitu tujuan penilaian kenaikan kelas secara umum adalah untuk menilai pencapaian kompetensi peserta didik selama semester 2 . Latihan soal pas atau uas smp/mts kelas 7 semester 1/ganjil kurikulum 2013 dan ktsp tahun 2021. Inilah pembahasan soal dan jawaban latihan uas, ukk dan pas untuk siswa kelas 7 smp / mts bahasa indonesia semester genap. Berikut soal ukk pat kelas 7 smp mata pelajaran pjok semester 2 kurikulum 2013 lengkap dengan kunci jawabannya.

Soal ukk smp kelas 7 2017; Soal Uas Bahasa Inggris Kelas 7 Smp Semester 2 Dan Kunci Jawaban Soal Pas Ukk Pilihan Ganda Tribunpontianak Co Id
Soal Uas Bahasa Inggris Kelas 7 Smp Semester 2 Dan Kunci Jawaban Soal Pas Ukk Pilihan Ganda Tribunpontianak Co Id from cdn-2.tstatic.net
Tujuan ulangan kenaikan kelas yaitu tujuan penilaian kenaikan kelas secara umum adalah untuk menilai pencapaian kompetensi peserta didik selama semester 2 . Soal ukk smp kelas 7 2017; Indonesia kelas 7 smp/ mts semester 2/ genap . Soal ukk ipa kelas 7 semester 2 kurikulum 2013 . Berikut soal ukk pat kelas 7 smp mata pelajaran pjok semester 2 kurikulum 2013 lengkap dengan kunci jawabannya. Latihan soal pas atau uas smp/mts kelas 7 semester 1/ganjil kurikulum 2013 dan ktsp tahun 2021. Pilihlah satu jawaban yang paling tepat. Download soal latihan ukk/ uas kls 7 b indonesia kurikulum 2013/ kurtilas/ k 13.

Penilaian akhir semester (pas) adalah .

Soal & kunci jawaban pas bahasa inggris kelas 7 semester 2 smp/mts tahun 2021. Inilah pembahasan soal dan jawaban latihan uas, ukk dan pas untuk siswa kelas 7 smp / mts bahasa indonesia semester genap. Tujuan ulangan kenaikan kelas yaitu tujuan penilaian kenaikan kelas secara umum adalah untuk menilai pencapaian kompetensi peserta didik selama semester 2 . Soal latihan uas matematika kelas 7 semester 2/ genap. Soal ukk / pat b. Soal ukk ipa kelas 7 semester 2 kurikulum 2013 . Indonesia kelas 7 smp/ mts semester 2/ genap . Berikut soal ukk pat kelas 7 smp mata pelajaran pjok semester 2 kurikulum 2013 lengkap dengan kunci jawabannya. Penilaian akhir semester (pas) adalah . Latihan soal pas atau uas smp/mts kelas 7 semester 1/ganjil kurikulum 2013 dan ktsp tahun 2021. Soal ukk/ uas pai dan budi pekerti kelas 7 smp semester 2/ genap kurikulum 2013 soal ukk/ uas pai kelas 7 smp semester 2/ genap ktsp soal ukk/ uas . Soal ukk smp kelas 7 2017; Pilihlah satu jawaban yang paling tepat.

Inggris sekolah menengah pertama kelas 7 semester 2 | disini Tujuan ulangan kenaikan kelas yaitu tujuan penilaian kenaikan kelas secara umum adalah untuk menilai pencapaian kompetensi peserta didik selama semester 2 . Soal & kunci jawaban pas bahasa inggris kelas 7 semester 2 smp/mts tahun 2021. Pilihlah satu jawaban yang paling tepat. Latihan soal pas atau uas smp/mts kelas 7 semester 1/ganjil kurikulum 2013 dan ktsp tahun 2021.

Soal ukk smp kelas 7 2017; Soal Ukk Pat Bahasa Indonesia Kelas 7 Smp Mts Tahun 2019
Soal Ukk Pat Bahasa Indonesia Kelas 7 Smp Mts Tahun 2019 from 2.bp.blogspot.com
Soal & kunci jawaban pas bahasa inggris kelas 7 semester 2 smp/mts tahun 2021. Indonesia kelas 7 smp/ mts semester 2/ genap . Penilaian akhir semester (pas) adalah . Soal latihan uas matematika kelas 7 semester 2/ genap. Soal ukk ipa kelas 7 semester 2 kurikulum 2013 . Berikut soal ukk pat kelas 7 smp mata pelajaran pjok semester 2 kurikulum 2013 lengkap dengan kunci jawabannya. Inilah pembahasan soal dan jawaban latihan uas, ukk dan pas untuk siswa kelas 7 smp / mts bahasa indonesia semester genap. Soal ukk/ uas pai dan budi pekerti kelas 7 smp semester 2/ genap kurikulum 2013 soal ukk/ uas pai kelas 7 smp semester 2/ genap ktsp soal ukk/ uas .

Soal ukk/ uas pai dan budi pekerti kelas 7 smp semester 2/ genap kurikulum 2013 soal ukk/ uas pai kelas 7 smp semester 2/ genap ktsp soal ukk/ uas .

Indonesia kelas 7 smp/ mts semester 2/ genap . Pilihlah satu jawaban yang paling tepat. Inilah pembahasan soal dan jawaban latihan uas, ukk dan pas untuk siswa kelas 7 smp / mts bahasa indonesia semester genap. Soal ukk/ uas pai dan budi pekerti kelas 7 smp semester 2/ genap kurikulum 2013 soal ukk/ uas pai kelas 7 smp semester 2/ genap ktsp soal ukk/ uas . Soal ukk / pat b. Penilaian akhir semester (pas) adalah . Berikut soal ukk pat kelas 7 smp mata pelajaran pjok semester 2 kurikulum 2013 lengkap dengan kunci jawabannya. Inggris sekolah menengah pertama kelas 7 semester 2 | disini Download soal latihan ukk/ uas kls 7 b indonesia kurikulum 2013/ kurtilas/ k 13. Tujuan ulangan kenaikan kelas yaitu tujuan penilaian kenaikan kelas secara umum adalah untuk menilai pencapaian kompetensi peserta didik selama semester 2 . Soal ukk ipa kelas 7 semester 2 kurikulum 2013 . Soal latihan uas matematika kelas 7 semester 2/ genap. Soal ukk smp kelas 7 2017;

Soal Ukk Kelas 7 Kurikulum 2013 Semester2 : Soal Dan Kunci Jawaban Pat Ppkn Smp Kelas 7 Kurikulum 2013 Tahun Pelajaran 2018 2019 Didno76 Com : Latihan soal pas atau uas smp/mts kelas 7 semester 1/ganjil kurikulum 2013 dan ktsp tahun 2021.. Soal ukk / pat b. Latihan soal pas atau uas smp/mts kelas 7 semester 1/ganjil kurikulum 2013 dan ktsp tahun 2021. Soal & kunci jawaban pas bahasa inggris kelas 7 semester 2 smp/mts tahun 2021. Inggris sekolah menengah pertama kelas 7 semester 2 | disini Berikut soal ukk pat kelas 7 smp mata pelajaran pjok semester 2 kurikulum 2013 lengkap dengan kunci jawabannya.

Posting Komentar untuk "Soal Ukk Kelas 7 Kurikulum 2013 Semester2 : Soal Dan Kunci Jawaban Pat Ppkn Smp Kelas 7 Kurikulum 2013 Tahun Pelajaran 2018 2019 Didno76 Com : Latihan soal pas atau uas smp/mts kelas 7 semester 1/ganjil kurikulum 2013 dan ktsp tahun 2021."